



解决一维易辛模型中带外部磁场的配分函数问题,可以通过以下方法:
变数变换法:适用于没有外磁场的情况,通过引入新变量简化配分函数的计算。对于有外磁场的情况,可以采用其他方法。
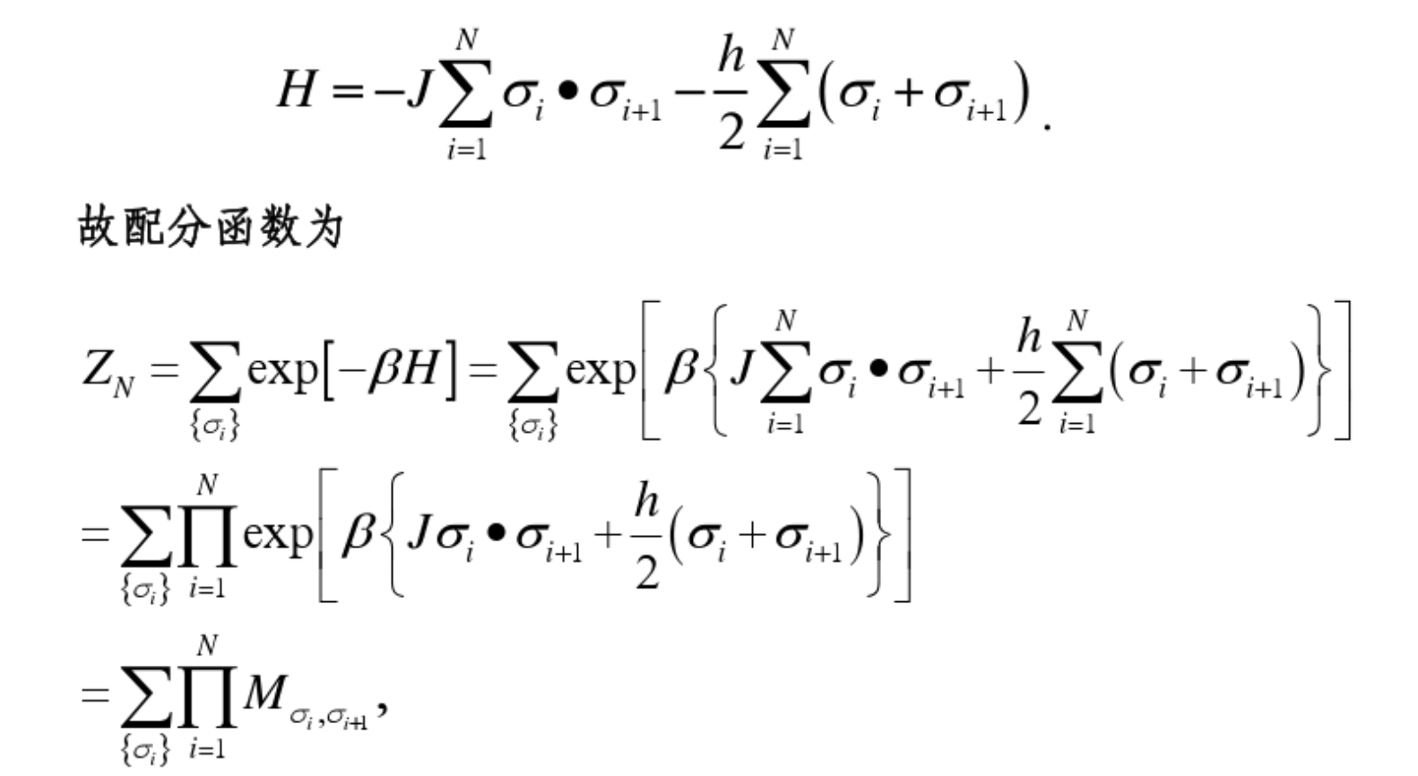
传递矩阵方法:通过构造一个传递矩阵,其特征值的乘积可以给出配分函数。在热力学极限下,只有最大的特征值对配分函数有贡献。
精确对角化:对于小尺寸的系统,可以精确地对哈密顿量进行对角化,从而得到配分函数。
蒙特卡洛模拟:通过随机抽样的方式来估计配分函数,适用于大尺寸的系统。
重整化群方法:通过重整化变换简化系统,逐步降低系统的自由度,最终得到配分函数的精确结果。
在实际计算中,可以根据系统的具体条件和所需的精度选择合适的方法。例如,传递矩阵方法和蒙特卡洛模拟适合于较大尺寸的系统,而精确对角化和重整化群方法则适用于追求精确解的情况。通过这些方法,可以有效地解决一维易辛模型中带外部磁场的配分函数问题。更多信息可以参考以下资源:
《旧约圣经》中的《诗篇》是由哪些人创作的?
胡安·裴隆在1940年代如何通过国有化和进口替代工业化政策改变了阿根廷的经济结构?
巴德尔在现代流行文化中有哪些表现?
阿布·哈米德·加札利为何被认为是伊斯兰思想史上的重要人物?
哪些品牌的维生素类产品和膳食补充剂在市场上较为热销,它们的具体销量和销售额是多少?
为什么1993年的《辛普森家庭》一集可以让“Baby on board”标语变得如此广为人知?
中铁投资集团有限公司的主要业务是哪几个方向,有哪些代表性的项目或资产管理案例?
凯兰·鲁兹在2014年电影《大力战神》中饰演的是什么角色?
《第九连队》的主要演员有哪些,他们在电影中分别饰演什么角色?
互联网的普及和技术的应用对全球职场入门教育的覆盖率有多大的提升?